Sciences physiques et chimie - Lycée
Secondes
Atomes
exos
Réfraction de la lumière
exos
Forces et gravité (sur un mode humoristique)
exos
Interaction gravitationnelle (sur un mode humoristique !)
Poussée d'Archimède (sur un mode humoristique !)
Concept de pression (sur un mode humoristique !)
Premières (enseignement général et spécialité)
Quantité de matière - mole
Spectrophotométrie
Oxydoréduction
Température absolue
Ondes mécaniques
Premières (enseignement scientifique)
Cristallographie
La radioactivité
exos
TP
La datation au carbone 14
La fission et la fusion nucléaires
exos
L'énergie rayonnée par le Soleil
exos
Sphéricité de la Terre, mesure de sa circonférence et mètre-étalon
exos
Calcul de distances à la surface de la Terre
exos
La Lune et Vénus, plus proches planètes de la Terre
exos
Le son
exos
Spectre sonore et modes de vibration des cordes d'une guitare
exos
l'harmonie musicale
exos
Terminales (enseignement général et spécialité)
Mécanique des systèmes matériels
exos
Repère de Freinet - Lois de Képler
exos
Référentiels galiléens - forces d'inertie
Oscillations d'un pendule
L'effet photoélectrique
Transferts thermiques
Solvatation en solution aqueuse
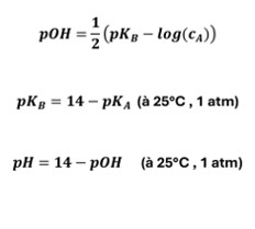
Acides et bases
pH d'une solution aqueuse
Acide faible - base faible
Calcul de pH
Titrage acide base
Conductivité des solutions ioniques
Conductimétrie -Loi de Kohlrausch
Titrage en vanilline d'un arôme de vanille
Synthèse d'un arôme de cerise
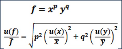
Incertitudes types
ACOUSTIQUE ET DECIBELS
Acoustique
Acoustique et décibels
EFFET DOPPLER SONORE
Effet Doppler sonore
DIFFRACTION DE LA LUMIERE_INTERFERENCES
Interférences lumineuses
Iridescence par diffraction lumineuse
Sujets du concours interne d'admission à l'EIVP
Electron en orbite autour d'un proton
Charge d'un condensateur-mécanique relativiste
Système masse-ressort-Flipper
Terminales (enseignement scientifique)
Histoire de la découverte de l'électricité
Le transformateur et son intérêt pour le transport de l'électricité
exos
Optimisation du transport de l'électricité
Comparaison de centrales de production électrique
Une histoire de piles
La pile à hydrogène
Les panneaux photovoltaïques